Metal insulated ReBCO 200-mm-racetracks reach 5.2 T central field
Advancements have been recently made at CEA in Metal Insulated (MI) racetrack coils wound with single ReBCO HTS tape, as part of the High-Field Magnet (HFM) program hosted by CERN. The metal insulation technology consists in a sheet of metal between each ReBCO tape to have a controlled interturn resistance that replaces electrical insulation used in accelerator magnets. This technology could present the advantages of non-insulated coils, used in several high-field solenoids, that allow current redistribution during quench, and avoid their drawback, i.e. a non-controlled field during ramp. Experimental measurements are mandatory to confirm those assumptions.
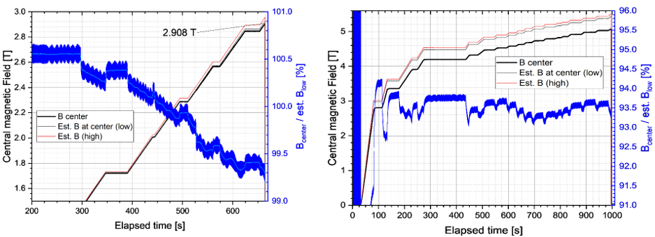
Three 140 mm short racetracks have been built (see Fig. 1) and tested first at 77 K, and then at 4.5 K. The individual test of RT9 showed a good magnetic reproducibility and linearity (within 1%), see Fig. 2. The racetrack reached 2.9 T at 4.5 K in the center (no aperture is present), and 8.5 T peak field in the ends, but went through a successive reduction in the second and third quench (6.4 T and 5.2 T respectively). Visual inspection after the cold tests enables identifying local burnt spots on the tape, not yet understood.


Fig. 1 : Cross section of the double racetrack, with field level, and image of a single racetrack (T. Lecrevisse, et al.)

Fig. 2 Difference between expected field and measured field in RT9 racetrack coil (left) and in DRT10-11 double MI racetrack coil (right) based on ReBCO conductor (T. Lecrevisse, et al.)
The second assembly coupled the second and third racetrack coils RT10 and RT11, and the demonstrator reached 5.1 T in the center, and 11.2 T and 12.3 T peak field in first and second quench respectively (calculated without screening currents). This corresponds to an overall current density in the coil of order of 2400 A/mm2. Notwithstanding this very high current density (four times what is usual for LTS magnets), this time no degradation after quench was observed; thanks to the metal insulated coil, the quench protection was simply based on switching off the power converter when reaching 0.5 V resistive voltage. The data were presented at an HFM forum on May 21 (https://indico.cern.ch/event/1544350/ ). The reproducibility of the transfer function (not yet at the level required for accelerators, but within 1%), the very large level of current density, and the self-protection of the magnet, are significant steps for the R&D plan.
The aspects replated to the scaling of this design concept to longer lengths and higher stored energies are far from being trivial: the program is continuing with a 600-mm-long coil, accompanied by numerical studies, that shall be tested before the end of the year.

Fig. 3: 600-mm-long MI coils manufactured in CEA (T. Lecrevisse, et al.)